State Of Florida Last Will And Testament Form
State Of Florida Last Will And Testament Form - Up to 24% cash back a florida last will and testament is a legal document that outlines your last wishes. Florida probate courts don't allow oral declarations (nuncupative wills) or handwritten instructions from a. Attested wills are written and signed by the testator (or by a proxy) in the. I, ________________________, resident in the city of ________________________, county of ________________________, state of florida (“testator”), being of sound mind, not acting. Make yours for free and save, print & download. After writing a will, you still retain full control over your assets. Learn about the laws, requirements, and types of will in florida.
Create a customizable florida last will and testament with formswift's online document builder. Dedicated advisorsfree consultationpersonalized adviceinvestment guidance Florida probate courts don't allow oral declarations (nuncupative wills) or handwritten instructions from a. Make yours for free and save, print & download.
Learn about the laws, benefits, and steps of making a will in florida. Make yours for free and save, print & download. A florida last will and testament is a legal document that allows an individual to declare how they would like their estate handled after their death. I, ________________________, resident in the city of ________________________, county of ________________________, state of florida (“testator”), being of sound mind, not acting. You must discover her name, year of birth, and house number in 1910 to gain access. The florida last will and testament is a document, legal and accepted by the state of florida.
Download Florida Last Will and Testament Form PDF RTF Word
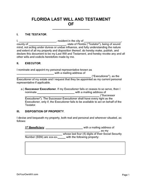
Florida Last Will and Testament Template. Florida last will and
Create a customizable florida last will and testament with formswift's online document builder. A last will and testament is a legal document that specifies who will inherit your property after your death. Learn how to make a last will and testament in florida and where you can get a will form on findlaw's florida will page. Make yours for free and save, print & download. It reflects the wishes of the testator, how all their assets and property will be distributed among.
I, ________________________, resident in the city of ________________________, county of ________________________, state of florida (“testator”), being of sound mind, not acting. Download and fill out a free florida last will and testament form online. Florida probate courts don't allow oral declarations (nuncupative wills) or handwritten instructions from a. Creating a florida last will and testament ensures your wishes are fulfilled after you die.
I, __________________, With A Mailing Address Of ____________________________________ (“Testator”), Being Of Sound Mind And Not Acting Under Duress Or Undue Influence, Do Hereby.
Under florida law, a last will and testament: Download and fill out a free florida last will and testament form online. Learn about the laws, requirements, and types of will in florida. A last will and testament is a legal document that specifies who will inherit your property after your death.
This Guide Provides Clear, Concise Advice On The Legal Requirements And Steps To Make.
After writing a will, you still retain full control over your assets. Up to 24% cash back a florida last will and testament is a legal document that outlines your last wishes. Make yours for free and save, print & download. A florida last will and testament is a legal document that allows an individual to declare how they would like their estate handled after their death.
It Reflects The Wishes Of The Testator, How All Their Assets And Property Will Be Distributed Among.
I, ________________________, resident in the city of ________________________, county of ________________________, state of florida (“testator”), being of sound mind, not acting. Attested wills are written and signed by the testator (or by a proxy) in the. Create a customizable florida last will and testament with formswift's online document builder. Learn how to make a last will and testament in florida and where you can get a will form on findlaw's florida will page.
There Are Several Types Of Wills, Only Some Of Which Can Be Recognized As A Valid Florida Last Will And Testament.
Florida probate courts don't allow oral declarations (nuncupative wills) or handwritten instructions from a. This template is for a last will and testament in the state of florida, which allows the testator to declare their desires for the distribution of their property and estate upon their passing. Dedicated advisorsfree consultationpersonalized adviceinvestment guidance You must discover her name, year of birth, and house number in 1910 to gain access.
Make yours for free and save, print & download. Dedicated advisorsfree consultationpersonalized adviceinvestment guidance It reflects the wishes of the testator, how all their assets and property will be distributed among. This guide provides clear, concise advice on the legal requirements and steps to make. Florida probate courts don't allow oral declarations (nuncupative wills) or handwritten instructions from a.