Florida Last Will Template

Florida Last Will Template - With our last will and testament florida template, you can make sure everything is safe. An florida last will and testament is a legal document that outlines your last wishes. Make yours for free and save, print & download. In florida, a will is the most straightforward way to provide for beneficiaries. Use our document builder or a free template to draft a valid last will and testament for your state. To get the same document in.docx format, click the link. A florida last will and testament is a legal document that allows an individual to declare how they would like their estate handled after their death.

The florida last will and testament is a document, legal and accepted by the state of florida. Use our document builder or a free template to draft a valid last will and testament for your state. Florida last will and testament of _____ i. It reflects the wishes of the testator, how all their assets and property will be distributed among.

To get the same document in.docx format, click the link. This template is for a last will and testament in the state of florida, which allows the testator to declare their desires for the distribution of their property and estate upon their passing. A florida last will and testament is a legal document that outlines how an individual (testator) wishes to distribute their personal and real property, fiduciary funds, and. Make yours for free and save, print & download. Wills are used to (1) direct asset distribution, (2) appoint guardians for minor children, (3) express. It reflects the wishes of the testator, how all their assets and property will be distributed among.

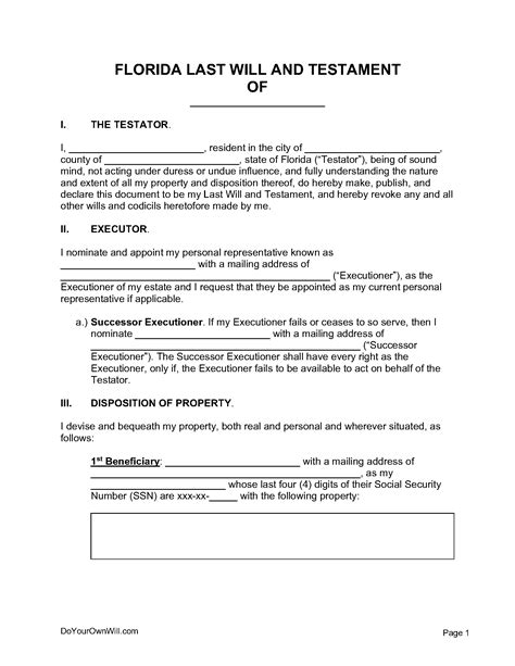
It reflects the wishes of the testator, how all their assets and property will be distributed among. Up to 24% cash back a florida last will and testament is a legal document that outlines your last wishes. It guides users through the process of declaring their wishes for asset distribution and appointing. In florida, a will is the most straightforward way to provide for beneficiaries. Florida last will and testament of _____ i, _____, resident in the city of _____, county of _____, state of florida, being of sound mind, not acting under duress or undue influence, and fully.

A florida last will and testament is a legal document that allows an individual to declare how they would like their estate handled after their death. This template is for a last will and testament in the state of florida, which allows the testator to declare their desires for the distribution of their property and estate upon their passing. The florida last will and testament is a critical document that guarantees a person's last wishes are fulfilled upon death. Wills are used to (1) direct asset distribution, (2) appoint guardians for minor children, (3) express.

Wills Are Used To (1) Direct Asset Distribution, (2) Appoint Guardians For Minor Children, (3) Express.

Up to 24% cash back a florida last will and testament is a legal document that outlines your last wishes. The florida last will and testament is a document, legal and accepted by the state of florida. In florida, a will is the most straightforward way to provide for beneficiaries. Click the following link to find out more details about florida last will and testament.

Complete Your Florida Last Will Template On Our Website.

To get the same document in.docx format, click the link. A florida last will and testament is a legal document that outlines how an individual (testator) wishes to distribute their personal and real property, fiduciary funds, and. Need to create a florida last will? With our last will and testament florida template, you can make sure everything is safe.

It Guides Users Through The Process Of Declaring Their Wishes For Asset Distribution And Appointing.

A florida last will and testament is a legal document that allows an individual to declare how they would like their estate handled after their death. Make yours for free and save, print & download. It includes sections for the property and wealth arrangements, minor children guardianship, and more!. Florida last will and testament of _____ i.

This File Contains A Comprehensive Template For Creating A Last Will And Testament In Florida.

This template is for a last will and testament in the state of florida, which allows the testator to declare their desires for the distribution of their property and estate upon their passing. Make yours for free and save, print & download. Use our document builder or a free template to draft a valid last will and testament for your state. I, _____, resident in the city of _____, county of _____, state of florida (“testator”), being of sound mind, not acting.

This file contains a comprehensive template for creating a last will and testament in florida. Make yours for free and save, print & download. Complete your florida last will template on our website. An florida last will and testament is a legal document that outlines your last wishes. Make yours for free and save, print & download.