Last Will And Testament Template Texas

Last Will And Testament Template Texas - One of the simplest ways to challenge a will is by proving that it fails to meet texas's technical requirements. A last will and testament or will is a legal document outlining how an individual (testator) wants to transfer their assets after death. Printable and super easy to use. Use our legal document builder to create a quality texas last will and testament! Download and print texas last will and testament templates for free. A texas last will and testament is a legal document that outlines an individual's wishes regarding the distribution of their estate among beneficiaries upon their death. A last will and testament that’s customized to your wishes.

A married person who has children, a person who is single, widowed, or divorced and does not have children, and a married person who does not have children. Free changes and revisions for up to one year after purchase. Want to protect your loved ones after you pass away? All the forms you need to create a personal estate plan.

Printable and super easy to use. This template is for a last will and testament in the state of texas, which allows the testator to declare their desires for the distribution of their property and estate upon their passing. Download and print texas last will and testament templates for free. Our last will and testament texas template is simple, easy to understand and customize, written by legal experts. For a will to be valid in texas: Article i identification of family i am married to _____ and all references in this will to my

Printable and super easy to use. For a will to be valid in texas: Our last will and testament texas template is simple, easy to understand and customize, written by legal experts. Download and print texas last will and testament templates for free. All the forms you need to create a personal estate plan.

Customize a will to suit your needs. A texas last will and testament is used by an individual to make a plan for what happens to their possessions after they pass away. An texas last will and testament is a legal document that outlines your last wishes. These forms will help you create a will regardless of your background or experience.

If The Signature Is Missing Or Is Disputed (E.g., It Does Not Match The Testator’s Other Known.

This individual, called the testator, the testator, can name an executor to look after the estate and ensure their final wishes are fulfilled. The person who creates a will is known as the testator, and the preferences embodied in a testator’s will are legally binding, making wills helpful for avoiding estate disputes. Article i identification of family i am married to _____ and all references in this will to my A texas last will and testament is used by an individual to make a plan for what happens to their possessions after they pass away.

The Texas Last Will And Testament Is A Legal Document That Allows A Person, Referred To As A Testator To Officiate Their Wishes In Regards To Their Estate.

Printable and super easy to use. Make yours for free and save, print & download. A married person who has children, a person who is single, widowed, or divorced and does not have children, and a married person who does not have children. A texas last will and testament is a legal document that outlines an individual's wishes regarding the distribution of their estate among beneficiaries upon their death.

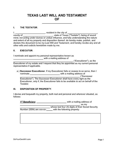
Texas Last Will And Testament Of _____ I.

This template is for a last will and testament in the state of texas, which allows the testator to declare their desires for the distribution of their property and estate upon their passing. In texas, title 57 of the texas probate code is the governing statute that enforces wills written in the state of texas. Customize a will to suit your needs. An texas last will and testament is a legal document that outlines your last wishes.

Make Yours For Free And Save, Print & Download.

Last will and testament of _____ i, _____, of _____, revoke any and all former wills and codicils (if applicable) and declare this to be my last will and testament. These forms will help you create a will regardless of your background or experience. Use our legal document builder to create a quality texas last will and testament! A texas last will and testament provides instructions for how a person’s property should be distributed after they die.

Texas last will and testament of _____ i. This template is for a last will and testament in the state of texas, which allows the testator to declare their desires for the distribution of their property and estate upon their passing. In texas, title 57 of the texas probate code is the governing statute that enforces wills written in the state of texas. A last will and testament or will is a legal document outlining how an individual (testator) wants to transfer their assets after death. The person who creates a will is known as the testator, and the preferences embodied in a testator’s will are legally binding, making wills helpful for avoiding estate disputes.