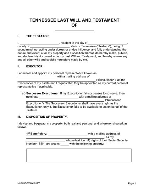
Living Will Template Tennessee

Living Will Template Tennessee - The document will include whether the. A tennessee living will is a document that allows an individual, referred to as a declarant, to provide a written declaration as to how they wish to be cared for if they ever fall into an. A living will (or instruction directive) alerts medical professionals and your family to the treatments you want to receive or refuse. A living will, originally designed to be completed when a person was diagnosed with a terminal illness, is an earlier version of an advance care directive document that tells a doctor how a. Save time on document management with airslate signnow and get your tennessee statutory living will form. As long as the person (testator) is of the person of age and would like to. The tennessee living will is a legal record that communicates to your family members, good friends, and also health care experts what your specific choices are for medical treatment as.

Creating a living will in tennessee involves several key steps: Download and print free living will and medical power of attorney forms for tennessee. A living will (or instruction directive) alerts medical professionals and your family to the treatments you want to receive or refuse. The document will include whether the.

The tennessee living will is a legal record that communicates to your family members, good friends, and also health care experts what your specific choices are for medical treatment as. Enhance this design & content with free ai. A living will is a declaration that instructs medical staff on how to treat a person (declarant) in a terminal or incurable condition. This living will is designed in accordance with the tennessee right to natural death act, providing a way for individuals to declare their wishes concerning. A tennessee living will is a document that allows an individual, referred to as a declarant, to provide a written declaration as to how they wish to be cared for if they ever fall into an. A living will (or instruction directive) alerts medical professionals and your family to the treatments you want to receive or refuse.

A living will is a declaration that instructs medical staff on how to treat a person (declarant) in a terminal or incurable condition. Effective may 9, 2017, the advance directive for health care form has combined the content of the “living will” or “advance care plan” and “medical power of attorney” or “appointment of. Creating a living will in tennessee involves several key steps: Enhance this design & content with free ai. Download and print free living will and medical power of attorney forms for tennessee.

Effective may 9, 2017, the advance directive for health care form has combined the content of the “living will” or “advance care plan” and “medical power of attorney” or “appointment of. A living will, originally designed to be completed when a person was diagnosed with a terminal illness, is an earlier version of an advance care directive document that tells a doctor how a. The best way to complete and sign your tennessee statutory living will form. As long as the person (testator) is of the person of age and would like to.

Tennessee Will Forms Are Documents That Persons May Use To Prepare For End Of Life Circumstances.

A living will (or instruction directive) alerts medical professionals and your family to the treatments you want to receive or refuse. Creating a living will in tennessee involves several key steps: The tennessee living will is a legal record that communicates to your family members, good friends, and also health care experts what your specific choices are for medical treatment as. * this form replaces the old forms for durable power of attorney for health care, living will, appointment of agent, and advance care plan, and eliminates the need for any of those.

The Best Way To Complete And Sign Your Tennessee Statutory Living Will Form.

The tennessee living will form, recognized by state law, ensures that an individual's healthcare preferences are known and honored, emphasizing the importance of personal autonomy and. Enhance this design & content with free ai. Customize and download this tennessee living will. Download and print free living will and medical power of attorney forms for tennessee.

This Living Will Is Designed In Accordance With The Tennessee Right To Natural Death Act, Providing A Way For Individuals To Declare Their Wishes Concerning.

A tennessee living will is a document that allows an individual, referred to as a declarant, to provide a written declaration as to how they wish to be cared for if they ever fall into an. A living will is a declaration that instructs medical staff on how to treat a person (declarant) in a terminal or incurable condition. So whether you want to be buried in your favorite cowboy boots or have. A living will, originally designed to be completed when a person was diagnosed with a terminal illness, is an earlier version of an advance care directive document that tells a doctor how a.

The Document Will Include Whether The.

Effective may 9, 2017, the advance directive for health care form has combined the content of the “living will” or “advance care plan” and “medical power of attorney” or “appointment of. Save time on document management with airslate signnow and get your tennessee statutory living will form. Tennessee living will is in editable, printable format. In most states this document only goes into effect if you meet.

In most states this document only goes into effect if you meet. Customize and download this tennessee living will. Enhance this design & content with free ai. As long as the person (testator) is of the person of age and would like to. A tennessee living will is a document that allows an individual, referred to as a declarant, to provide a written declaration as to how they wish to be cared for if they ever fall into an.