Factoring Of Polynomials Worksheet
Factoring Of Polynomials Worksheet - To factor a polynomial completely, you should try each of these steps. Look for a difference of two squares or a. Free trial available at kutasoftware.com. Free trial available at kutasoftware.com Free trial available at kutasoftware.com. Create your own worksheets like this one with infinite algebra 1. Create your own worksheets like this one with infinite algebra 2.
Create your own worksheets like this one with infinite algebra 1. Factor trees may be used to find the gcf of difficult numbers. How can you factor a polynomial? Create your own worksheets like this one with infinite algebra 2.
Match each polynomial equation with the graph of its related polynomial function. Create your own worksheets like this one with infinite algebra 1. Factoring polynomials 1) first determine if a common monomial factor (greatest common factor) exists. 3 x2 + 6 = 3 ( + 2) 2. Create your own worksheets like this one with infinite algebra 1. Factor trees may be used to find the gcf of difficult numbers.
50+ Factoring worksheets on Quizizz Free & Printable
Create your own worksheets like this one with infinite algebra 1. Free trial available at kutasoftware.com. 10.\:\:factor\:3h^{4}+24h^{3}+21h^{2} study tools ai math solver popular problems worksheets study guides practice cheat sheets calculators graphing calculator geometry calculator. Free trial available at kutasoftware.com. Create your own worksheets like this one with infinite algebra 2.
Factoring polynomial worksheets help students understand the factorization of linear expressions, quadratic expressions, monomials, binomials, and polynomials using different types of. 10.\:\:factor\:3h^{4}+24h^{3}+21h^{2} study tools ai math solver popular problems worksheets study guides practice cheat sheets calculators graphing calculator geometry calculator. How can you factor a polynomial? Factoring polynomials 1) first determine if a common monomial factor (greatest common factor) exists.
Here Is A Set Of Practice Problems To Accompany The Factoring Polynomials Section Of The Preliminaries Chapter Of The Notes For Paul Dawkins Algebra Course At Lamar.
Factoring polynomial worksheets help students understand the factorization of linear expressions, quadratic expressions, monomials, binomials, and polynomials using different types of. Factoring polynomials 1) first determine if a common monomial factor (greatest common factor) exists. Match each polynomial equation with the graph of its related polynomial function. Free trial available at kutasoftware.com
3 X2 + 6 = 3 ( + 2) 2.
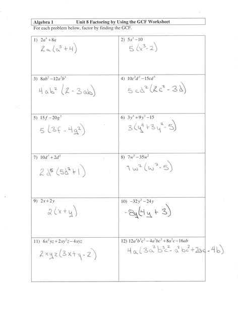
Worksheet factoring polynomials gcf, grouping, two terms factoring means to write as a product and is used to simplify expressions or solve equations. Free trial available at kutasoftware.com. Factor out the greatest common monomial factor. Create your own worksheets like this one with infinite algebra 1.
How Can You Factor A Polynomial?
The first step in factoring. Create your own worksheets like this one with infinite algebra 1. Free trial available at kutasoftware.com Look for a difference of two squares or a.
Free Trial Available At Kutasoftware.com.
Factor trees may be used to find the gcf of difficult numbers. To factor a polynomial completely, you should try each of these steps. Free trial available at kutasoftware.com. Create your own worksheets like this one with infinite algebra 2.
Free trial available at kutasoftware.com Factoring polynomial worksheets help students understand the factorization of linear expressions, quadratic expressions, monomials, binomials, and polynomials using different types of. Look for a difference of two squares or a. Free trial available at kutasoftware.com. How can you factor a polynomial?